Pages
Beranda
Goresan Garis HITAM PUTIH
About
Blogroll
Pages
Beranda
Diberdayakan oleh
Blogger
.
Beranda
About Me
ILBIANCONERI
Lihat profil lengkapku
Member
Blogger templates
Blogroll
Minggu, 09 Desember 2012
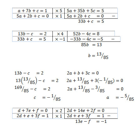
Menentukan Matrik Invers dan Matriks identitas
0 komentar
Posting Komentar
Popular Posts
Manfaat Permutasi dan Kombinasi Bagi Ilmu Komputer
Manfaat Permutasi dan Kombinasi Bagi Ilmu Komputer Kombinasi Kombinasi adalah menggabungkan beberapa objek dari suatu grup tanp...
Permutasi dan Kombinasi
Permutasi Dan Kombinasi Permutasi dan kombinasi merupakan suatu alat analisis yang mempunyai peranan yang sangat penting, khususnya d...
Tips Agar Pelajaran Nempel di Otak
Tip s Agar Pelajaran Nempel di Otak Belajar mendadak menjelang ujian memang tidak efektif. Paling nggak sebulan sebelum ulangan ...
Tips 10 Perawatan Pada Komputer
10 tips perawatan komputer Sepuluh tips perawatan yang dapat Anda gunakan sehari hari agar komputer selalu berjalan dengan baik dan tan...
Persamaan diferensial pada matematika diskrit
Persamaan diferensial pada matematika diskrit khususnya adalah Persamaan suatu fungsi matematika yang memiliki satu variabel atau lebih, dim...
Menentukan Matrik Invers dan Matriks identitas
Blogger news
About
Blog Archive
►
2013
(2)
►
Januari
(2)
▼
2012
(4)
▼
Desember
(3)
Manfaat Permutasi dan Kombinasi Bagi Ilmu Komputer
Permutasi dan Kombinasi
Menentukan Matrik Invers dan Matriks identitas
►
Oktober
(1)
0 komentar
Posting Komentar